中经考试临近,大家都进入了紧张的复习阶段。原本想用些工作之外的时间,给已经报考中经的小伙伴们每天梳理一下考点,但最近忙到焦头烂额,有点心有余而力不足之感觉,也觉得对不起那些期待我的小伙伴们。那,从今天起,我们来简单梳理一下考点吧。
刚刚好今天有小伙伴问起基础第三部分第21章“金融风险与金融监管”的考点,那就理一理这章的考点吧。
这一章共10个考点,我们一个个来梳理。
第一个考点:金融风险的含义及特征。按照往年考试的频繁程度,这是4颗星的考点,大家一定要掌握。
1、金融风险的含义:投资者和金融机构在货币资金的借贷和经营过程中,由于各种不确定性因素的影响,使得预期收益和实际收益发生偏差,从而发生损失的可能性。
2、金融风险的基本特征(4个):
A、不确定性。因影响因素非常复杂,各种因素相互交织,难以在事前完全把握。不确定性也可以从其含义中得到理解。
2、相关性。金融机构所经营的商品--货币的特殊性决定金融机构同经济和社会紧密相关。
3、高杠杆性。金融企业负债率偏高,财务杠杆大,负外部性大(备注:负外部性在基础第6章有学习过,正外部性和负外部性,知识点关联记忆更深刻)。不知道啥叫杠杆,知道阿基米德的那句话也行:给我一个支点,我能撬动整个地球。也举个例子:假如,某金融机构有10亿资金,可能能撬动起100亿,这就是高杠杆。
4、传染性。金融机构承担着中介机构的职能,割裂原始借贷对应关系。如果处在某一中介网络的某一个地方出现风险,很有可能对其他方面产生的影响,甚至会引起行业的、区域的金融风险,进一步导致金融危机。
记忆小诀窍:刘老师(我不是刘老师,刘老师是位大咖女神老师,值得我一直学习)给大家的记忆办法,联想记忆法:我不确定大肠杆菌的相关传染性。哈,如果你觉得有点小恶心,那你一定也把这4个特征记住了。管其恶心与否呢,只要记住了考点就行。
第二个考点:金融风险的类型(4个)。
A、市场风险。因市场因素,比如,利率、汇率、股价及商品价格的波动而导致的金融参与者的资产变化,就是市场风险。
B、信用风险。借钱的人或市场上交易的对方违约,比如,到期还不了钱,或者根本还不了,而引起。
C、 流动性风险。资产参与者由于资产流动性降低而导致的。
D、 操作风险。金融机构系统不完善、管理失误或其他人为错误而引起。
注意:需要掌握4个类型是什么,然后给出一段话能够判断出是哪种类型就行。
第三个考点:金融危机的含义、内容和类型(类型有4个)。
1、 金融危机的含义:一G和几G与地区的全部或者大部分金融指标,如短期利率、金融资产、房产、商业破产数和金融机构倒闭数的急剧、短暂和超周期的恶化,即为金融危机。
2、内容。
A、金融危机4个特点,频繁性、广泛性、传染性和严重性。后果严重影响到区域甚至全球金融系统的稳定性。
B、从世界范围来看,几乎所有G都遭受过此侵袭。
C、会使一G实体经济受到影响,经济增长放缓甚至衰退,严重会令金融市场完全崩溃。
3、类型(4点)
A、债务危机。
B、货币危机。
C、流动性危机。
D、综合性金融危机。
关于这4个类型所对应的更多内容详见这部分的书籍。
第三个考点:金融危机的含义、内容和类型(类型有4个)。
类型(4点)
1、债务危机。支付能力危机,即无法按期偿还债务而最终引发的危机。发生债务危机的G有3个特征:
A、出口不断萎缩,外汇主要来源于举借外债。
B、国际债务条件对债务国不利。
C、债务国缺乏外债管理经验,外债投资效益不高,创汇能力低。
说明:上述3个特征,均有可能成为单多选的考点。
2、货币危机。实行固定汇率制或带有固定汇率制色彩的盯住汇率安排G容易发生货币危机。
3、动性危机。因流动性不足而引起的。流动性包含2个层面:一是国内流动性危机,金融机构资产负债不匹配,“借短放长”,就会导致流动性不足以偿还短期债务,存款者担心存款损失要求银行立即兑现,出现大规模“挤兑”风波,导致危机爆发。二是国际流动性危机,假如,一G金融体系中潜在的短期外汇履约义务超过短期内可能得到的外汇资产规模,国际流动性就不足。说明:一G的外汇储备越多,国际流动性越充足,发生流动性危机的可能性就会越小
4、综合性金融危机。几种危机的综合,现实中的金融危机都是综合性金融危机。分为外部综合性金融危机和内部综合性金融危机。
说明:一是上述三种金融危机会相互影响,比如,流动性危机很可能引发货币危机。二是危机从对外经济部门向整个经济蔓延,演变为内部金融危机,未能及时调整,就可能从对外经济部门波及整个经济,引发全面的内部综合性金融危机。发生内部综合性金融性危机的G共同特点为金融体系脆弱,由银行传导至整个经济体系。三是一方面严重损害经济金融利益,极易升级为经济危机;另一方面暴露深层次结构问题。
第四个考点:次贷危机。
1、含义:发生在MG,因次级抵押贷款机构破产、投资基金被迫关闭、股市剧烈震荡引起的金融风暴。
2、阶段(3个)
A、债务危机阶段,由于房地产价格下跌,利率上升,导致次级房贷的贷款人不能按时还本付息而引发的危机。
B、流动性危机阶段,由于债务危机导致相关金融机构流动性不足,不能及时应付债权人变现的要求。
C、信用危机阶段,投资者对建立在信用基础上的金融活动产生怀疑,引发全球范围内的金融恐慌。
第五个考点:金融监管的含义、对银行监管的原因、理论。
1、含义:金融监管是指一G的金融管理部门为达到稳定货币、维护金融业正常秩序等目的,依法对金融机构及其经营活动实施外部监督、稽核、检查和对其违法违规行为进行处罚等一系列行为(注意粗体关键词构成多选条件)。
2、为什么要对银行进行监管的原因,与银行的3大特性相关。
A、银行提供期限转换功能。
B、银行是整个支付体系的组成部分。
C、银行的流动性和创造性功能。
3、金融监管的一般性理论。
A、公共利益理论,对公众要求纠正不公平、不公正和无效率或低效率所作的回应。
B、保护债权论,保护债权人的利益。
C、金融风险论,源于“金融不稳定假说”,银行的高负债经营、借短放长、部分准备金制度。
D、金融全球化对传统金融监管理论的挑战。
第六个考点:金融监管体制的分类(按2个角度划分)。
1、按银行的监管主体以及中央银行的角色来分(2种)
A、以中央银行为重心的监管体制(3点)。
以中央银行为重心,其他机构参与分工监管体制。
M对银行类金融机构采取双线(联邦和州两级监管机构)多头(联邦这一级又存在多个分工协作的机构)。
1999年,M联储被赋予对金融控股公司的监管权力。其是唯一一家能同时监管银行、证券和保险业的联邦机构。
B、独立与中央银行的综合管理体制(3点)。
在中央银行之外,同时设立几个部门对银行、证券和保险金融机构进行监管的体制,但中央银行在其中发挥独特作用。
德国的银行可以同时经营证券和保险业务,故银行监督局即为综合性金融监管机构。
银行监督局负责制定和颁布有关监督的规章制度。德联邦银行负责对金融机构的各种报告进行分析,进行日常的监管活动。
1999年,欧洲中央银行成立,德联邦银行失去了独立制定货币政策的职能。
2、按监管客体的角度来分(2种)
A、综合监管体制。指对金融业作为一个整体进行监管。代表国家英国。
B、分业监管体制。对不同类型的金融机构分别设立不同的的专门机构进行监管。大多数发展国家为分业监管体制。
实行综合监管体制的主要目标:是适应金融经营体制从分业转向混业的需要。
实行分业监管体制的主要原因:实行分业经营体制、金融发展水平不高、金融监管能力不足。
第七个考点:我G的金融监管体制(2点)
1、逐渐由单一全能型体制转向独立于中央银行的分业监管体制。
2、2018年3月,将银行业监督管理委员会和保险监督管理委员会的职责整合,组建银行保险监督管理委员会。其主要职责:依照法律规范统一监督管理银行业和保险业,保护金融消费者合法权益,维护银行业和保险也合法、稳健运行、防范和化解金融风险,维护金融稳定等。将银行业监督管理委员会和保险监督管理委员会的拟定银行业、保险业重要法律法规草案和审慎监管基本制度的职责划入央行。
第八个考点:我G对重点领域的监管进展(3点)
1、对影子银行的监管。
影子银行的含义:影子银行是指常规银行体系以外的各种金融中介业务,通常以非银行金融机构为载体,对金融资产的信用、流动性和期限等风险进行转换,扮演着“类银行”的角色。包括:投资银行、对冲基金、货币市场基金等。
影子银行的特点(5个):
以银行为核心,表现为银行的影子;
以监管套利为主要目的,违法违规现象较为普遍;
存在刚性兑付或具有刚性兑付预期;
收取通道费用的盈利模式较为普遍
以类贷款为主,信用风险突出。
对其治理:开展专项治理。明确资产管理业务属性、统一产品标准,减少跨机构跨市场套利。
2、对地方金融组织的监管(明天继续分享)
3、对金融控股公司的监管(明天继续分享)
继续分享中级经济师经济基础知识部分的第21章“金融风险与金融监管”最后一个知识点,影响广泛的3个“巴塞尔协议”。注意这是历年必考的考点,而且考得非常细节,各位小伙伴们一定要仔细精读教材而且辅佐以练习题,把这部分的考点掌握。
第十个考点:影响广泛的3个巴塞尔协议(3个)
1、1988年巴塞尔报告(也称为旧巴塞尔资本协议)。
主要内容有4点:
A、资本组成(2点内容)
核心资本:包含实收股本、公开储备。
附属资本:未公开储备、资产重估储备、普通准备金和呆账准备金、混合资本工具和长期次级债券。
B、风险资产权重
0% 10% 20% 50% 100%
哈哈,我就想问问大家这组数据你们如何记住它们?其实还是蛮好记忆的,想想我们流通的币面值就可以了,有10块的、20块的、50块的、100块的。是不是很轻松而且好记忆。
C、]资本标准
资本充足率(资本充足率是指资本与风险加权资产的比例)不低于8%,核心资本比率不低于4%。
D、过渡期安排。
确认了监督银行资本的可行统一标准。
以上是旧巴塞尔报告的主要内容,都有可能成为考点,需要好好学习哦。
2、2003年新巴塞尔资本协议
主要内容有3点,其中监管当局的3大职责,需要认真看看。
A、最低资本要求。
对风险范畴的进一步拓展;计量方法的改进;鼓励使用内部模型;资本约束范围的扩大。
B、监管当局的监督检查。监管当局担当起的3大职责:
全面监管银行资本充足状况;
培育银行的内部信用评估系统
加快制度化进程。
C、市场约束
富有成效的市场奖惩机制可以迫使银行有效合理地分配资金。
确保市场约束的有效实施,必须要求银行建立信息披露制度。
3、2010年巴塞尔协议Ⅲ
主要内容有4点
A、强化资本充足率的监管标准(注意这里有很多数字需要区分,是高频考点)。
最大资本充足率普通股、一级资本和总资本充足率分别为:4.5%、6%、8%(考点)
留存超额资本:2.5%
反周期超额资本:0-2.5%
待新标实施后,普通股、一级资本和总资本充足率分别为:7%、8.5%、10.5%(考点)
注意:2010年巴塞尔协议Ⅲ新标实施前后的普通股、一级资本、一级资本充足率的具体数字会是考点,且容易混淆在一起考。记忆的小诀窍就是在前面的数字加上2.5,就是新标后的具体数。比如,原普通股的资本充足率为4.5%+2.5=7%,即为新标实施后普通股的资本充足率。依次类推即可以记住其他2种。不要两组数据都都进行记忆,那样太占用脑内存。考得很细,我们也有应对考试的记忆方法。
B、引入杠杆率的监管标准。
巴塞尔委员会决定引入基于规模、与具体资产风险无关的杠杆率监管指标,作为资本充足率的补充。
C、建立流动性风险量化监管标准。
D、确定新监管标准的实施过渡期。
好啦,到这里,经济基础第21章金融风险与金融监管的所有考点就给大家分享完了。
中级经济师经济基础知识部分的第22章“对外金融关系”的考点共12个,昨天分享了前面的3个考点:汇率制度划分、影响汇率制度选择的因素、RMB汇率制度。今天继续分享3个考点:
第四个考点:国际储备的构成(4种)
1、货币性黄金
指一G货币当局作为金融资产而持有的黄金。由于货币当局在执行黄金国际储备职能时不能以实物黄金对外支付,所以黄金只能算是潜在的国际储备,而非真正的国际储备。
2、外汇储备
指各国货币当局持有的对外流动性资产,主要是银行存款和国库券等,国际储备最主要的组织部分是外汇储备,在非黄金储备中的占比高达95%以上。
3、IMF的储备头寸
指在国际货币基金组织的普通账户中会员国可以自由提取使用的资产。包括会员国向基金组织缴纳份额中的25%可自由兑换货币(储备档头寸)和基金组织用去的本币两部分(超储备档头寸)
4、特别提款权
是国际货币基金组织根据会员国缴纳的份额无偿分配的,可供会员国用以归还基金组织贷款和会员国政府之间偿付国际收支逆差的一种账面资产。特别提款权根据一篮子货币定值。
第五个考点:国际储备的作用(3条)
1、通国际收支逆差,调节临时性的国际收支不平衡。
2、干预外汇市场,从而稳定本国货币汇率。
3、是一国对外举债和偿债的根本保证。
由于外汇储备占非黄金储备的95%以上,国际储备的管理实质上是外汇储备的管理。
第六个考点:国际储备管理(3条)
1、外汇储备总量管理(分2种情形)
第一种情形:如果一G外汇储备规模过低,不能满足其对外贸易以及其对外经济往来的需要,会引起国际支付危机,甚至是金融危机。
第二种情形:如果一G外汇储备规模过多,会增加持有储备的机会成本,占用较多的基础货币,导致流动性过剩,给一G带来负面影响。
一G应该全面衡量持有外汇储备的收益与成本,保持合适的外汇储备规模。
2、外汇储备的结构管理(2点)
A、储备货币的比例安排
含义:是指确定各种储备货币在一G外汇储备额中各自所占的比重。
内容(4个):
应满足在一定风险的条件下,获取尽可能高的预期收益率的原则。
对于外汇储备,收益不确定的风险表现为一G当局将持有的储备资产转化为其他资产进行使用时面临购买力下降的可能性。
为减少汇率风险,一G可以考虑设立与弥补赤字和干预市场所需要的货币保持一致的储备货币结构
减少外汇储备风险的另一种可行办法是实行储备货币多样化。
B、储备资产流动性结构的确定
含义:一G应当在考虑流动性和盈利性的条件下确定储备资产流动性结构。
内容:一G应当拥有足够的一级储备(包括现金和准备金,如活期存款、商业票据等)来满足国际储备的交易性需求。剩下的储备资产可在各种二级储备(如中期债券)与高收益储备之间进行组合投资,以期在保持一定的流动性条件下获取尽可能高的预期收益率。
3、外汇储备的积极管理
A、含义:
是指在满足外汇储备资产所需要的流动性和安全性的前提下,以多余外汇储备单独成立专门投资机构,拓展外汇储备投资渠道,延长外汇储备资产投资期限,以提高外汇储备投资收益水平。
B、管理流动性风险、市场风险、信用风险,以及取得合理收入等商业性原则,也第一次进入了官方储备的管理原则,意味着对外汇储备进行积极管理,最大限度地获取收益成为国际储备管理的一个基本原则,国际储备投资战略更多的转向追求高收益的中长期投资。
第九个考点:布雷顿森林体系的主要运行特征(3点)
1、可兑换黄金的M元本位。
布雷顿森林协定规定了双挂钩原则:M元与HJ挂钩,其他国家货币与M元挂钩。布雷顿森林体系是一种国际金汇兑本位制,M元充当了国际储备货币,广泛用作国际间的计价手段、支付手段和贮藏手段,所以又称为M元本位。
2、可调整的固定汇率。
布雷顿森林体系实行的是人为的固定汇率制度。
3、国际收支调节。
国际收支失衡有2种方法调节:1是短期失衡由国际货币基金组织提供信贷资金来解决;2是长期失衡通过调整汇率平价来解决。
第十个考点:牙买加体系的主要运行特征(3点)
1、多元化的国际储备体系
(国际储备货币包括M元、R元、O元)。
2、多种汇率安排并存的浮动汇率体系。
在牙买加体系下,各国可自行安排其汇率制度,形成了多种汇率安排并存的浮动汇率体系。
3、国际收支的调节。
在牙买加体系下,经常账户失衡主要通过汇率机制、利率机制、国际金融市场融通和国际货币基金组织调节等方式进行。
第十一个考点:国际主要金融组织(3大点)
1、国际货币基金组织
A、国际货币基金组织是国际货币体系的核心机构(决策管理机构由理事会、执行董事会、国际货币与金融委员会、发展委员会组成)。
理事会:代表所有成员方的理事会是国际货币基金组织的最高权力机构。
执行董事会:常设机构,负责日常工作。
B、国际货币基金组织的宗旨。
促进国际货币领域的合作。
促进国际贸易的扩大和平衡发展。
促进汇率的稳定,保持成员国之间有秩序的汇率安排等。
C、国际货币基金组织的资金来源(含份额和借款)
份额:
成员国缴纳的份额是国际货币基金组织主要的资金来源。
份额是成员方认缴的资本金,包括加入时的认缴和增资份额。最初份额的25%是以HJ或M元等主要国家货币缴纳,现在改为以特别提款权或主要国际货币缴纳,其余75%以本币缴纳。
份额不仅决定成员国缴纳的资金,还决定成员国在国际货币基金组织的投票权、借款数量和特别提款权的分配。
借款:
一般借款总安排和新借款安排。
D、国际货币基金组织的贷款。
常用的贷款种类有:备用安排、中期贷款、减贫与增长贷款。
其他贷款:补充储备贷款、应急信贷额度、经济援助。
2、世界银行集团(详情略)。
3、国际清算银行(详情略)。
第22章的主要考点,基本分享完成。如果今天的简文没有被锁,明天将继续梳理中级经济师经济基础部分的内容。
昨天分享的经济基础第22章后面3个考点的内容没有被锁,得以今天继续该话题。继续分享中经基础部分第23章“统计与统计数据”的主要考点。这一章包含考点共10个,分别为:
统计学的两大分支
变量的分类和数据的分类
数据的来源
统计调查的分类
各种统计调查方式的含义
各种统计调查方式的示例
各种统计调查方式的特点
各种统计调查方式的地位
统计计量的评价标准(9点)
数据科学与大数据
第一个考点:统计学的两大分支
1、描述统计。
含义:是研究数据收集、整理、和描述的统计方法。
内容(3个):
如何取得所需要的资料。
如何用图表或数学方法对数据进行整理和展示(反映)。
如何描述数据的一般特性。
2、推断统计。
含义:是研究如何利用样本数据推断总体特征的统计方法。
内容(2个):
参数估计:利用样本信息推断总体特征。
假设检验:利用样本信息判断对总体的假设是否成立。
第二个考点:变量的分类和数据的分类
1、变量的分类
A、定量变量(数量变量),变量的取值表现为具体的数值。如,企业销售额,员工注册数。
B、定性变量,包含两种:
1是分类变量,变量的取值表现为类别。如,企业所属行业、性别。
2是顺序变量,变量的取值表现为类别且有一定顺序。如,员工受教育水平、学生成绩类别。
2、数据的分类
A、定量数据(数值型数据)是对变量变量的观测结果。其取值表现为具体的表示大小或多少数值。如,销售金额100万元。
B、定性数据,包含两种:
1是分类数据,是对分类变量的观测结果,表现为类别,一般用文字表述,也可以用数值代码表示,不区分顺序。
2是顺序数据,是对顺序变量的观测结果,表现为类别,一般用文字表述,也可以用数值代码表示,但有顺序。
第三个考点:数据的来源
1、按收集方法分为2种。
A、观测数据。
含义:观测数据,通过直接调查或测量而收集的数据。
内容:观测数据是在没有对任何事物施加任何人为控制因素的条件下得到的,几乎所有与社会经济现象有关的统计数据都是观测数据。如:GDP、CPI等。
B、实验数据
含义:实验数据是通过在实验中控制实验对象以及其所处的实验环境收集到的数据。
内容:自然科学领域的数据大多数是实验数据。如:一种新产品的使用寿命的数据、一种新药疗效的数据。
2、使用者的角度看,数据的来源有两种。
A、一手数据。
内容:直接的调查和科学实验,对使用者来说,这是数据的直接来源,称为直接数据或一手数据。
来源2个:
1是调查和观察;2是实验。社会经济领域,统计调查是获得数据的主要方法,也是获得一手数据的重要方式。
B、二手数据。
来源于别人的调查或实验的数据对使用者来说,这是数据的间接来源。比如,来自统计部门以及各种报刊媒介公开出版或报道的社会经济统计数据。
第四个考点:统计调查的分类
1、按调查对象的范围不同分为:全面调查和非全面调查。
A、全面调查
含义:对构成调查对象的所有单位进行逐一的、无一遗漏的调查。
包括:全面统计报表、普查。比如:人口普查、经济普查。
B、非全面调查
含义:是对调查对象中的一部分单位进行调查。
包括:非全面统计报表、抽样调查、重点调查、典型调查。比如:为研究城市居民家庭生活水平,对一定数量的住户进行调查;为掌握进出口商品质量,抽取一部分商品做检验。
2、按调查登记的时间是否连续分为:连续调查和不连续调查。
A、连续调查
含义:观察总体现象在一定时期内的数量变化,说明现象的发展过程,目的是为了解社会现象在一段时期的总量。
如,工厂的产品生产、原材料的投入、能源的消耗、人口出生等。
B、不连续调查
含义:间隔一个相当长的时间(通常为1年)所作的调查,为了对总体现象在一定时点上的状态进行研究。
如,生产设备拥有量、耕地面积等。
第五个考点:各种统计调查方式的含义
1、统计报表
按照有关法规的规定,自上而下的统一布置,自下而上地逐级提供基本统计数据的一种调查方式。
2、普查
为某一特定目的而专门组织的一次性全面调查。
3、抽样调查
从调查对象的总体中抽取一部分单位作为样本进行调查,并根据样本调查结果来推断总体数量特征的一种非全面调查。
4、重点调查
是一种非全面调查,从所要调查的总体中选择一部分重点单位进行调查。重点单位虽然只是全部单位中的一部分,但是就调查的标志值来说在总体中占绝大比重。(可以根据20、80原则联想)
5、典型调查
是一种非全面调查,从调查对象的全部单位中有意识地选择若干具有典型意义或有代表性的单位进行调查。(注意关键词:典型意义、代表性)
第六个考点:各种统计调查方式的示例
1、普查
人口普查:每10年一次,尾数为0的年份进行普查,如,1990、2000。标准时间为:11月1日0时(第5次和第6次人口普查的标准时间)。
经济普查:每10年2次,可以理解为经济发展很快,普查的时间间隔短一些,尾数为3、8的年份进行经济普查,比如:2008、2013(可以记忆为经济发达且有靠山)。时间:1月1日0时。
农业普查:每10年一次,尾数为6的年份进行普查,如,1996、2006(设置在6的年份可以理解为风调雨顺、66大顺)。标准时间为:1月1日0时。
2、抽样调查
研究某城市居民的家庭消费结构,在全部50万户家庭中随机抽取2000户进行入户调查。注意:是随机抽取的单位。
3、重点调查
为了解某省企业出口信贷情况,定期调查该省出口信贷排在前500名的企业。这500家企业虽然只占该省出口企业数量的10%,但其出口信贷总额占该省企业出口信贷总额的75%以上,即为重点调查。注意:是对重点单位进行调查。
4、典型调查
为排除某安全隐患,专家根据经验选择10个有代表性企业进行深入细致调查。注意:是对有典型意义的、有代表性的单位进行调查。
第七个考点:各种统计调查方式的特点
1、统计报表的特点
以一定的原始数据为基础,按统一的表式、统一的指标、统一的报送时间、统一的报送程序进行填报(4统一)。
2、普查的特点
通常是一次性或周期性;涉及面广,耗费人力、物力、财力。一般需要规定标准调查时间,以免调查数据重复或遗漏。普查的使用范围比较窄,只能调查一些最基本及特定的现象。
3、抽样调查特点
经济性(最显著特点);时效性强;适应面广;准确性高。
4、重点调查特点
使用范围广。当调查目的只要求了解基本状况和发展趋势,不要求掌握全面数据,而调查少数重点单位就能满足需要时,采用重点调查就比较适宜。
5、典型调查特点
弥补全面调查不足;调查单位不是随机抽取的,调查结果不能推断总体。
第八个考点:各种统计调查方式的地位
普查,主要用于了解处于某一时点状态下的社会经济现象的基本全貌,为国家制定有关政策提供依据。
抽样调查,是实际中应用最广泛的一种调查方式和方法。
重点调查,重点单位虽然只是全部单位中的一部分,但是就调查的标志值来说在总体中占绝大比重,调查这一部分单位的情况,能够大致反映被调查对象的基本情况。
典型调查,弥补全面调查的不足;在一定条件下可以验证全面调查数据的真实性。
第九个考点:统计计量的评价标准(9点)
1、真实性
要求统计源头数据必须符合统计调查对象的实际情况,确保统计数据有依据,可溯源。侧重于对基层数据质量的评价。
2、准确性
要求统计数据的误差必须控制在允许范围内,能够为形势判断、政策制定、宏观调控等提供可靠依据。侧重于对统计数据生产科学性的评价。
3、完整性
要求统计数据应当全面完整,统计范围不重不漏,统计口径完备无缺。侧重于对统计数据全面系统反映客观实际程度的评价。
4、及时性
要求统计数据生产应当在符合统计科学规律的前提下,尽可能缩短从调查到公布的时间间隔。侧重于对统计数据生产效率的评价。
5、适用性
要求统计数据能够最大限度为用户所用,统计指标紧跟时代发展、切合统计需求。侧重于对客户满意度的评价。
6、经济性
要求统计数据生产应当尽可能降低成本,统计调查、行政记录、大数据等数据资源得到充分利用。侧重于对统计数据成本效益的评价。
7、可比性
要求统计数据应当连续、可比,不同时间、空间数据生产使用规范统一的统计标准和统计原则。侧重于对统计工作的标准化、规范化程度的评价。
8、协调性
要求统计数据结构严谨、逻辑合理,各总量数据、结构数据相互间高度匹配。侧重于对统计数据间逻辑关系的评价。
9、可获得性
要求多渠道、多方式公布统计数据,同时公布相应的统计制度方法加强数据解读,满足社会需求。侧重于对统计服务质量的评价。
第十个考点:数据科学与大数据
1、数据科学的含义
数据科学是一门通过系统性研究获取与数据相关的知识体系的学科。
2、研究的对象
数据科学研究的是从“数据”集合成“信息”进而组织成“知识”的整个过程。包含对数据进行采集、存储、处理、分析、表现等一系列活动。数据科学研究对象是数据,研究目标是获得洞察力和理解力,通过对数据的分析来解释、预测、洞见和决策,为现实世界服务。
3、大数据具有“4V”特性
A、数据量大(Volume)
B、数据多样性(Variety)
结构化数据,可以用二维表结构实现表达的数据。如,ERP系统,教育一卡通。
非结构化数据,数据结构不规则或不完善,没有预定义的数据。如,文档、图表、报表、音频信息、地理位置等
半结构化数据,介于完全结构化数据和完全非结构化数据之间的数据。如,邮件,员工建立。
(注意:2022版教材没有出现结构、半结构和非结构的概念,之所以仍然分享在此,是估计题库内有该类题目)
C、价值密度低(Value),价值密度的高低与数据总量的大小成反比。在连续不间断的监控中,有用数据可能仅有1、2秒。
D、数据产生和处理速度快(Velocity),符合“1秒定律”。
以上4V是根据英文单词的首字母来定的。
4、数据挖掘
含义:是从大量的、不完全的、有噪声的、模糊的、随机的实际应用数据中,提取隐藏在其中但又有潜在价值信息和知识的过程。核心任务是对数据关系和特性进行探索。
含义包含4层:
A、数据源必须是真实的、大量的、有噪声的。
B、发现的是用户感兴趣的知识。
C、发现的知识是可接受、可理解、可运用的。
D、并不要求发现放之四海而皆准的知识,仅支持特定的发现问题。
5、数据挖掘以解决时间问题为出发点。
融合了很多学科领域的知识,核心任务是对数据关系和特征进行探索。常见的数据挖掘方法可分为:监督学习、无监督学习、半监督学习。
A、监督学习
根据已有的数据集,训练出模型可以根据自变量数据得到因变量预测结果的过程。监督学习中有2大类典型任务。
1是分类。通过特征变量确定观察单位所属类别,因变量是分类变量。如,根据用户满意度、财务信息判断用户合约到期后是否会续约。
2是回归。通过特征变量确定观察单位因变量的取值,因变量是定量变量。如,根据钻石的克拉数、颜色、切割工艺等信息预测钻石的价格。
B、无监督学习
主要任务是探索数据之间的内在联系和结构。无监督学习中有2大类典型任务。
1是聚类。就是把一组数据按照相似性和差异性分为几个类别,使得同类型数据相似性尽可能大,不同类数据相似性尽可能小,跨类的数据关联性尽可能低。常用于客户细分、文本归类、结构分组、行为跟踪等。如,通过聚类分析将网购客户划分为互不相交的客户群,以便为不同的客户群推荐不同的目标商品。
2是降维。也称为特征提取,指在不损失过多的信息的前提下将N个相关的特征降为k个不相关的特征(k<N)使其具有更好的解释性。如,根据客户的能力、品格、担保、资本、环境等特征评价客户的信用等级。
C、半监督学习
监督学习与无监督学习相结合的一种学习方法。
第24章
好咯,离中级经济师全国统一考试越来越近,大家还好吗?哈哈,别焦虑,现在正是努力复习提分时。
今天继续给大家分享第4部分统计的第24章“描述统计”,这一章共包含十个考点,分别如下:
测度数据集中趋势的测度指标(均值、中位数、众数)
测度数据离散程度的测度指标(方差、标准差、离散系数)
常用的数据特征测度总结
偏态系数的取值(说明数据的分布是对称还是左偏、右偏)
标准分数
经验法则(168、295、399)
变量之间的相关关系
两变量的散点图
相关系数的取值范围,两变量之间的关系(低度、中度、高度)
两变量之间的相关程度
第一个考点:测度数据集中趋势的测度指标
1、均值
A、含义:均值就是平均数,数据组中所有数值的总和除以该组数值的个数。
B、均值的特点
优点:能够充分利用数据的全部信息,均值大小受每个观测值的影响,比较稳定。
缺点:易受极端值影响。如果观察值中有明显的极端值,则均值的代表性就差。举个例子,几位同事一起坐在某办公室开会,大家差不多都拿1万左右的薪酬,这时候会议室进来一位月薪10万的人,这个时候大家就都被平均了。月薪的均值受到了进来的这个人的极端值的影响,这组均值的代表性就差。
C、计算:所有数值的总和除以该组数据的个数。小学生都知道的原理,所有均值计算完全没有难度。
2、中位数
A、含义:把一组数据按从小到大或从大到小的顺序进行排列,位置居中的数值叫做中位数。
B、特点
优点:是一个位置代表值,不受极端值影响,抗干扰性强,尤其适用于收入类偏斜分布的数值型数据。
缺点:没有充分利用数据的全部信息,稳定性差于均值,优于众数。
C、计算步骤
将数据进行排序;
确定中位数的位置;确定中位数的具体数据。
教材上给出了关于一组奇数、和偶数的计算公式。个人以为为方便并简化记忆,大家可以从给定数据中直接用(N+1)/2,确定位置,再计算出中位数。即,一组数据有7个,先排序后,我们用(7+1)/2=4,即第4个数为中位数。而给出的如果是偶数,比如8个,排序后,我们也可以用(N+1)/2=(8+1)/2=4.5,表明中位数在第4个数和第5个数之间,将第4个数和第5个数加起来除以2,即求出中位数。比如,第4个数是8,第5个数是7,(8+7)/2=7.5,中位数即为7.5.
3、众数
A、含义:一组数据中出现次数最多的变量值。
B、特点
优点:不受极端值的影响,尤其是分布明显呈偏态时,众数代表性更好。
缺点:没有充分利用数据的全部信息,缺乏稳定性,而且可能不唯一。
C、计算:其实不需要计算,直接找出那个出现频率最多的数就可以了。教材表述:出现次数最多的变量值。
第二个考点:测度数据离散程度的测度指标(方差、标准差、离散系数)
1、方差
A、含义:数据组中各数值与其均值离差平方的平均数。
翻译成大白话:方差就是差的方。
假如有一组数据,分别为:5、7、7、8、8、7、7
如何计算方差呢?其步骤大致如下:
①算出均值(就是平均数):把每个数据加起来再除以数据的个数,即:
(5+7+7+8+8+7+7)/7=49/7=7
②计算出上述那组数据里面的每一个数和均值的差。即:
5-7=-2;7-7=0;7-7=0;8-7=1;8-7=1;7-7=0;7-7=0
③计算第②步,各个差的平方和。即:
(-2)2(上标,-2的平方)+02(上标,0的平方)+02(上标,0的平方)+12(上标,1的平方)+12(上标,1的平方)+02(上标,0的平方)+02(上标,0的平方)=6
(备注:简书不显示平方,只能用文字来表达)
④ 计算方差(公式担心简书识别不了,此处略,用文字表达)
各数据与均值的差的平方/(样本量-1)=6/(7-1)=1
B、方差的特点
能较好地反映出数据离散程度,是实际中应用最广泛的离散程度测度值。
2、标准差
含义:方差的平方根。
以上述那组数据为例,上述已经计算出方差为1,方差开平方根,即1开平方根=1。上述那组数据的标准差即为1.
注意:需要理清的思路就是一切都是由均值而来,有了均值,才能算方差,有了方差再计算标准差,有了标准差才能计算后面的离散系数。
标准差的特点
标准差不仅能度量数值与均值的平均距离,还有原始数值具有相同的计量单位。
3、离散系数
含义:也叫变异系数或标准差系数。计算:标准差/均值,即为离散系数
特点:可以直接用来比较不同变量间的离散程度。比如,可以比较老师年龄和学生年龄的离散程度。
计算:标准差/均值,即为离散系数。还是以上述数据为例:
离散系数,标准差与均值的比值=1÷7=1/7
第三个考点:常用的数据特征测度小结
1、测度数据集中趋势
指标:均值、中位数、众数
均值:受极端值影响,适用于定量数据,即数值型数据;不适用于分类数据;不适用于顺序数据。
中位数:不受极端值影响,适用于定量数据,即数值型数据;不适用于分类数据;适用于顺序数据。
众数:不受极端值影响,不适用于定量数据,即数值型数据;适用于分类数据;适用于顺序数据。
2、测度数据离散程度
指标:方差、标准差、离散系数。
前面已经说明过:方差因均值而来,标准差因方差而来,离散系数又是标准差与均值的比值。都因均值而引起,所以这三者是否受极端值影响、属于数值型数据还是分类数据、顺序数据都与均值相同。
3、集中趋势与离散程度的关系
A、数据离散程度越大,集中趋势测度值对该组数据的代表性就越差
B、数据离散程度越小,集中趋势测度值对该组数据的代表性就越好。
方差越小,说明数据值与均值的平均距离越小,均值的代表性越好。
第四个考点:偏态系数的取值(说明数据的分布是对称还是左偏、右偏)
1、偏态系数的取值
A、偏态系数取值为0,表明数据的分布是对称的
B、偏态系数取值为正值,数据分布右偏。
右偏分3种情形:取值范围0到0.5,表明轻度右偏;取值范围0.5到1,表明中度右偏;取值范围大于1,表明严重右偏。
C、偏态系数取值为负值,数据分布左偏。
左偏分也3种情形:取值范围0到0.5,表明轻度左偏;取值范围-0.5到-1,表明中度左偏;取值范围小于-1,表明严重左偏。
注意:偏态系数的绝对值越大,数据分布的偏斜程度越大。
对称分布(正态分布),以变量值的中点为对称轴的对称分布。
哈哈,象限对称分布吧
偏态分布,有2种: 右偏:右边的线比较长比较低,意味着出现了极大值,而这些极大值个数又比较少。 左偏:左边的线比较长比较低,意味着出现了极小值,而这些极小值个数又比较少。
第五个考点:标准分数
1、在统计上,均值和标准差不同时,不同变量的数值是不能比较的。
2、来自不同分布的变量值不可比,但是每个数值在变量分布中相对于均值的相对位置是可比的,因此可以通过计算标准分数来比较不同变量的取值。
3、标准分数可以给出数值距离均值的相对位置。
计算方法是用数值减去均值所得的差除以标准差(公式略)
4、标准分数也称为为Z分数,是统计上常用的一种标准化方法。转变后的标准分数并没有改变数值在原分布中的位置,也没有改变数据原分布的偏度。标准分数的平均数为0,标准差为1.
第六个考点:经验法则(168、295、399)
对于服从对称的钟形分布的标准分数“
1、约有68%的数据与平均数的距离在加减1个标准差的范围之内。
2、约有95%的数据与平均数的距离在加减2个标准差的范围之内。
3、约有99%的数据与平均数的距离在加减3个标准差的范围之内。
第七个考点:变量之间的相关关系
1、按相关的程度可以分为:完全相关、不完全相关、和不相关
A、完全相关:一个变量的取值变化完全由另一个变量的取值变化所确定。如,价格不变的条件下,某种商品的销售总额由其销售量决定。
B、不相关:两个变量的取值变化彼此互不影响。如,股票的价格与气温的高低。
C、不完全相关:两个变量之间的关系介于完全相关和不相关之间。如,大部分相关现象均属于不完全相关。
2、按相关的方向可分为:正相关、负不相关
A、正相关:当一个变量的取值由小变大,另一个变量的取值也相应的由小变大。如,工人工资随着劳动生产率的提高而增加。
B、负相关:当一个变量的取值由小变大,另一个变量的取值也相应的由大变小。如,商品销售量随着单价的升高而降低。
第七个考点:变量之间的相关关系
1、按相关的程度可以分为:完全相关、不完全相关、和不相关
2、按相关的方向可分为:正相关、负不相关
3、按相关的形式可分为:线性相关和非线性相关。
A、线性相关
当两个相关变量之间的关系大致呈现为线性关系时。(散点图观测点接近于直线)
B、非线性相关
两个相关变量之间的关系不表现直线的关系,而近似于某种曲线方程关系。
第八个考点:两变量的散点图
两变量之间的关系可以用散点图展示(以下4种图形略)。
1、两个变量不相关
各点散落,没有形状可寻。
2、两个变量为正线性相关
各点的轨迹在正向直线周围,或完全落在直线上(直线向右上方倾斜)。
3、两个变量为负线性相关
各点的轨迹在负向直线周围,或完全落在直线上(直线向右下方倾斜)。
4、两个变量为非线性相关
各点呈现为曲线或其他图形。
第九个考点: 相关系数的取值范围,两变量之间的关系(低度、中度、高度)
Pearson相关系数只适用线性相关关系,取值范围在+1和-1之间。
r的取值及两变量自己的关系如下:5种
1、r大于0小于等于1;表明变量X和Y之间存在正线性相关。
2、r大于等于-1小于0;表明变量X和Y之间存在负线性相关。
3、r等于1;表明变量X和Y之间存在完全正线性相关。
4、r等于-1;表明变量X和Y之间存在完全负线性相关。
5、r等于0;不存在负线性相关关系。但并不能说明两变量之间没有任何关系,它们之间可能存在非线性相关关系。
提示:可以通过画数轴来记忆。
第十个考点:两变量之间的相关程度
在说明两个变量之间的线性关系强弱时,根据其绝对值的大小,可将相关程度分为4种,具体如下:
1、r的绝对值小于0.3,表明两个变量之间的相关程度极弱,可视为无线性相关关系。
2、r的绝对值小于0.5大于等于0.3,两个变量之间的相关程度,可视为低度相关。
3、r的绝对值小于0.8大于等于0.5,两个变量之间的相关程度,可视为中度相关。
4、r的绝对值大于等于0.8,两个变量之间的相关,可视为高度相关。
提示:记住3个数值“0.3、0.5、0.8”。到0.3低度相关;到0.5中度相关;到0.8高度相关。相关系数的绝对值越大,相关程度越高。
中级经济基础统计部分的前2章,即第23章统计与统计数据和第24章描述统计,整体不难,掌握后不需要花更多的时间记忆。相对而言,第26章回归分析、第27章时间序列难度会大一些,学起来会有一定的难度,但考起来没有那么难。
第25章
今天的简文将分享经济基础第25章“抽样调查”考点的梳理,这一章的考点共11个,分别如下:
1、抽样调查的基本概念
2、概率抽样和非概率抽样(含义、特点、非概率抽样的4个方法)
3、抽样调查的一般步骤
4、抽样调查误差(包括抽样误差和非抽样误差)
抽样误差产生的原因:抽样的随机造成的
非抽样误差误差产生的原因:抽样框误差、无回答误差、计量误差
5、几种基本概率抽样方法的含义
简单随机抽样、分层抽样、系统抽样、整群抽样、多阶段抽样
6、几种基本概率抽样方法的示例
7、几种基本概率抽样方法的优缺点
8、几种基本概率抽样方法的适用情形
9、估计量的性质:估计量的无偏性、有效性、一致性
10、影响抽样误差的因素4个、抽样误差的估计
11、样本量的计算
我们一个一个考点来梳理,具体来看看。
第一个考点:抽样调查的基本概念
以具体例子来说明几个基本概念。如,为了解某小学2年级学生的平均身高,从300名学生中随机抽取50名进行调查。其中:
1、总体,300名学生。
2、总体单元,300名学生中的每一名学生。
3、样本,50名学生。
4、入样单位,被抽中的50名学生中的每一名学生。
5、样本量,入样单位的个数,50。
6、抽样框,所有抽样单元的名单:300名学生的名单。
7、总体参数,根据总体中所有单位的数值计算:300名学生的平均身高。
8、样本统计量,也叫样本估计量:50名学生的平均身高。
上述8个基本概念,通过示例希望大家掌握咯,考得频率很高哦。
第二个考点:概率抽样和非概率抽样
根据抽样方法的不同,可将抽样分为概率抽样和非概率抽样。
1、概率抽样
A、含义:也叫随机抽样,是指依据随机原则,按照某种事先设计的程序,从总体中抽取部分单元的方法。
B、抽样的特点。
按一定概率以随机原则抽取样本。
总体中每个单元被抽中的概率是已知的或是可计算出来
当采用样本对总体参数进行估计时,要考虑每个样本单元被抽中的概率。
C、说明。
如果每个单位被抽入样的概率相等,则称为等概率抽样。
如果每个单位被抽入样的概率不同,则称为不等概率抽样。
D、抽样方法
简单随机抽样、分层抽样、系统抽样、整群抽样、多阶段抽样。
2、非概率抽样
A、含义:也叫非随机抽样,调查者根据自己的方便或主观判断抽取样本的方法。
B、非概率抽样的特点。
最主要的特征是抽取样本时并不是依据随机原则。
C、非概率的抽样方法共4个,分别如下。
判断抽样,调查人员依据调查目的和对调查对象的了解,人为确定样本单元。
方便抽样,依据方便原则,以达到最大限度降低调查成本的目的。如在街边拦住行人进行“拦截式”调查。
自愿样本,由自愿接受调查的单元所组成的样本,如网上调查。
配额抽样,将总体中的各单元划分为若干类型,将样本数额分配到各类型中,从各类型中抽取样本的方法没有严格限制,一般采用方便抽样。
第三个考点:抽样调查的一般步骤
1、确定调查问题,要做什么样的研究,为什么要做这项调查研究。
2、调查方案设计,明确如何实施调查,包括抽样方案的设计和问卷设计。
3、实施调查过程。
4、数据处理分析,包括对调查获得的原始数据进行检测、核对,对验收合格的数据进行编码和录入,对录入的数据进行预处理,对数据进行统计分析,对总体参数进行估计等。
5、撰写调查报告,调查报告是调查活动的最终成果,是前面劳动成果的展现。
第四个考点:抽样调查误差(包括抽样误差和非抽样误差)
调查中的误差分为抽样误差和非抽样误差。
1、抽样误差,是由于抽样的随机性造成的,用样本统计量估计总体参数时出现的误差。
2、非抽样误差,指除抽样误差外,由其他原因引起的样本统计量与总体真值之间的差异。
3、非抽样误差产生原因:
A、抽样框误差,抽样框不完善,如抽样框存在重复、遗漏现象。
B、无回答误差,调查人员没有能够从被调查者那里得到所需要数据,分为两类:
第一类是由于随机因素造成的,如被调查者恰好不在家。第二类是由于非随机因素造成的,如被调查者不愿意告诉实情而拒绝回答。
C、计量误差,由于调查所获得的数据与真值之间不一致造成的误差。可能由调查人员、问卷设计、受访者等原因造成的(如调查员在调查中有意无意的诱导被调查者;调查人员有意作弊;由于问卷的原因受访者对调查问题的理解有偏差;受访者记忆不清;受访者提供虚假数值等)
第五个考点:几种基本概率抽样方法的含义
1、简单随机抽样
分为不放回简单随机抽样和有放回简单随机抽样。
不放回简单随机抽样:从总体中逐个随机抽取单元并无放回,每次都在所有尚未被抽入样本的单元中等概率的抽取下一个单元,直到抽取n个单元为止。
放回简单随机抽样:从总体中随机抽出一个样本单位,记录观察结果后,将其放回到总体中去,再抽取第2个,如此类推,一直到抽满n个单位为止。
2、分层抽样
先按照某种规则把总体分为不同的层,然后在不同的层内独立、随机抽取样本。
3、系统抽样
先将总体中的所有单元按一定顺序排列,在规定范围内随机抽取一个初始单元,然后按事先规定的规则抽取其他样本单元。
4、整群抽样
将总体中所有的基本单位按照一定规则划分为互不重叠的群,抽样时直接抽取群,对抽中的群调查其全部的基本单位,对没有抽中的群则不进行调查。
6、多阶段抽样
A、多阶段抽样是对经过两个及两个以上抽样阶段的抽样方法的统称。
B、首先从总体中采用随机方法抽取若干个小总体,称为初级单元;再在这些选中的初级单元中随机抽取若干个单元。如果经过两个阶段抽样,抽取到接受调查的最终单位,称为二阶段抽样;如果经过三阶段才抽取到接受调查的最终单位,称为三阶段抽样,以此类推。
第六个考点:几种基本概率抽样方法的示例
1、简单随机抽样
在研究某城市居民家庭消费结构时,在全部50万户家庭中随机抽取3000户进行入户调查。
2、分层抽样
为研究某公司注册在职人员的平均工作,先按照一定的原则将300名员工分为3层,每层都抽出一定量的员工进行调查。
3、系统抽样
为了解600件产品的质量情况,抽取60件进行质量检查将600件产品依次编号,确定抽样间隔K=N/n=600/60=10,在第1部分中用简单随机抽样抽取一个号码,如8号,从该号码起,每隔10个号码取一个号码,得到一个样本量为60的样本。如,8、18、28…598.
最简单的系统抽样是等距抽样。
4、整群抽样
在调查某城市小学教师亚健康状况时,从城市的200所小学中随机抽取40所,每个被抽取小学中的所有教师都参与调查。
第七个考点:几种基本概率抽样方法的优缺点
1、简单随机抽样
优点:简单随机抽样是最基本的随机抽样方法,操作简单,且每个单位的入样概率相同。
缺点:没有利用抽样框更多的辅助信息,用样本统计量估计总体参数的效率受到影响,样本的分布可能十分分散,增加了调查过程中的费用和时间。
2、系统抽样
优点:操作简便;对抽样框的要求比较简单,只要求总体单位按一定顺序排列,而不一定是一份具体的名录清单。
缺点:方差估计比较复杂,给计算抽样误差带来一定困难。
3、分层抽样
优点:不仅可以估计总体参数,同时也可以估计各层参数;便于抽样工作的组织;每层都要抽取一定的样本单位,样本在总体中分布比较均匀,可以降低抽样误差。
4、整群抽样
优点:实施调查方便,可以节省费用和时间;抽样框编制得以简化,抽样时只需要群的抽样框。
缺点:如果群内各单位之间比较小,而群与群之间的差别比较大,则会使得整群抽样的抽样误差比较大。
第八个考点:几种基本概率抽样方法的适用情形
1、简单随机抽样
抽样框中没有更多可以利用的辅助信息。
调查对象分布范围不广阔。
个体之间的差异不是很大。
2、系统抽样
系统抽样的估计效果与总体单位排列顺序有关。
3、分层抽样
抽样框中有足够的辅助信息,能够将总体单位按照某种标准划分到各层之中。实现:在同一层内各单位差异尽可能小,不同层之间各单位的差异尽可能大。
4、整群抽样
群内差异尽可能大,群间差异尽可能小。
……
第九个考点:估计量的性质
什么样的估计量是好估计量,衡量的标准一般有3个:
估计量的无偏性、有效性、一致性(记忆秘诀:一无所有)。
1、无偏性
对不放回简单随机抽样,所有可能的样本均值取值的平均值总是等于总体均值,这就是样本均值估计量的无偏性。(均值)
2、有效性
在同一抽样方案下,对总体参数(符合略,因为简书不能识别),如果有两个无偏估计量,无偏估计量1、无偏估计量2,由于样本的随机性,如果无偏估计量1的可能样本取值较无偏估计量2更密集在总体参数真值附近,我们会认为无偏估计量1更有效。(更密集,有对比)
3、一致性
随着样本量的增大,估计量的值如果稳定于总体参数的真值,这个估计量就有一致性,可称为一致估计量。
第十个考点:影响抽样误差的因素4个、抽样误差的估计
1、影响随机抽样的因素
抽样误差与总体分布有关。总体单位值之间差异越大,即总体方差越大,抽样误差越大。
抽样误差与样本量有关。其他条件相同,样本量越大,抽样误差越小。
抽样误差与抽样方式和估计量的选择也有关。如,分层抽样的估计量方差一般小于简单随机抽样。
利用有效辅助信息的估计量也可以有效的减小抽样误差。
2、估计量方差的估计公式
公式看上去很复杂,考试起来很简单,所以不要被吓到。整个公司只提到3个具体的数,一个是样本,一个是总体,另一个是样本方差。这3个具体的数考试时都会给出,所以并不难。文字表达公式如下:
样本估计量的方差=(1-样本n/总体N)x样本方差/样本n。
把给出的3个数代入公式,即可以算出来。
第十一个考点:样本量的计算
1、通常情况下,样本中所包含的样本量增大,抽样误差会减小。
2、样本量的影响因素。
调查的精度。精度越高,所需要的样本量就越大。
总体的离散程度。在其他条件相同情况下,总体的方差越大,所需要的样本量也越大。
总体的规模。
无回答情况。
经费的制约。
其他因素。
3、随着样本量的增大,增加同等样本量所增加的精度幅度呈下降趋势。
好啦,25章的所有考点分享结束。
第26章
继续来分享经济基础第26章回归分析的考点。这一章所涉及的考点有8个,分别为:
1、相关分析与回归分析的关系(联系、区别)
2、回归模型的分类
3、一元线性回归模型(回归系数是用最小二乘法计算的)
4、一元线性回归方程
5、最小二乘法
6、回归模型的拟合效果分析(决定系数的取值)
7、模型预测
8、二元回归模型案例
第一个考点:相关分析与回归分析的关系
1、概念
回归分析就是根据相关关系的具体形态,选择一个合适的数学模型,来近似的表达变量间的依赖关系。
回归分析的实质:是在相关分析的基础上,研究变量间的数量变化规律。
2、回归分析与相关分析的联系:
它们具有共同的研究对象,而且在具体应用时,常常必须互相补充。
相关分析需要依靠回归分析来表明现象数量相关的具体形式。
回归分析则需要依靠相关分析来表明现象数量变化的相关程度。
只有当变量间存在高度相关时,进行回归分析寻求其相关的具体形式才是有意义的。
3、回归分析与相关分析的区别:
相关分析与回归分析在研究目的和研究方法上有明显区别,在进行回归分析时,首先需要确定因变量和自变量。
相关分析研究变量之间相关的方向和相关的程度。但是相关分析不能指出变量间的具体形式,无法从一个变量的变化来推测另一个变量的变化情况。
回归分析是研究变量之间相互关系的具体形式,它对具有相关关系的变量之间的数量联系进行测定,确定一个相关的数学方程式,根据这个数学方程式可以从已知量来推测未知量,从而估算和预测提供了一个重要方法。
第二个考点:回归模型的分类
分类依据:按自变量的多少,分为一元(一个X)回归模型和多元(多个X)回归模型。
按回归模型是否为线性:分为线性回归模型和非线性回归模型。
第三个考点:一元线性回归模型
1、一元线性回归是描述两个变量之间相互关系的最简单的回归模型。
[if !supportLists]2、[endif]回归模型可以用描述因变量Y如何依赖自变量X和误差项?的方程来表示。
一元线性回归模型可以表示为:Y=?0+?1X+?
模型中,因变量Y是自变量X的线性函数(?0+?1X)加上误差项?。
?0、?1为模型的参数,也叫回归系数。
?0+?1X反映了由自变量X的变化引起因变量Y的线性变化。
误差项?,是一个随机变量,表示出X和Y的线性关系之外的随机因素对Y的影响。
第四个考点:一元线性回归方程
1、描述因变量Y的期望E(Y)如何依赖自变量X的方程称为回归方程。
2、一元线性回归方程的形式为:E(Y)=?0+ ?1X
3、一元线性回归方程的图示是一条直线。
?0(备注:0为下标)是回归直线的截距,表示自变量X为0时,因变量Y的期望值,即E(Y)的值。
?1(备注:1为下标)为回归直线的斜率,表示自变量X每变动一个单位时,E(Y)的值。
如,利用样本数据拟合城镇居民人均可支配收入X(单位:元)和人均消费Y(单位:元)的回归方程,估计方程Y=1293+0.6X。表示,城镇居民家庭人均可支配收入每增加1元,城镇居民人均消费增加0.6元。
第五个考点:最小二乘法
在现实中,模型的参数β0、β1(简书未能识别该参数)
都是未知的,需要利用样本数据去估计,采用的估计方法是最小二乘法
备注:最小二乘法其他的知识点略,因简书平台识别不了相关公式
第六个考点:回归模型的拟合效果分析(决定系数的取值)
1、含义:决定系数R的平方
R的平方,也称为拟合优度或判定系数。测度回归模型对样本数据的拟合程度决定系数是回归模型所能解析的因变量变化占因变量总变化的比例。
2、取值范围:
取值范围在0 到 1 之间。决定系数越高,模型的拟合效果就越好,即模型解释因变量的能力越强。现实中的R的平方
R的平方大都落在 0 和1 之间。
决定系数越接近 1,回归直线的拟合效果越好。
决定系数越接近 0,回归直线的拟合效果越差。
R的平方=1,所有观测点都落在回归直线上,说明回归直线可以解释因变量的所有变化。
R的平方=0,说明回归直线无法解释因变量的变化,因变量的变化与自变量无关。
2、回归系数的显著性检验
(1)在大样本假定的条件下,回归系数的最小二乘估计量β0尖、β1尖
渐进服从正态分布,可以用 t 检验方法验证自变量 X 对因变量 Y 是否有显著影响
(2)t 检验的原理是反证法,如果 P 值小于 0、05,则可以在 0、05 的显著性水平下拒绝原假设。
第七个考点:模型预测
回归分析的一个重要应用就是预测,即利用估计的回归模型预估因变量数值。
根据估计一元线性直线回归方程,将 X=时代入方程,则可求出 Y。
第八个考点:二元回归模型案例
1、利用某公司的 30 位员工数据,以年薪为因变量 Y,受教育年限(edu)和职位(position)为自变量,得到估计的二元线性回归方程:
Y尖=-18716.2+3669edu+27144.47position
2、多元回归模型在实际应用中,随着自变量个数的增加,即使在有些自变量与因变量完全不相关的情况下,决定系数R的平方也会增大。为避免因增加自变量个数而高估拟合效果的情况,多元回归模型一般使用修正了自由度的调整后R的平方
调整后的R的平方考虑了自变量个数增加带来的影响,在数值上小于R的平方
3、设上式中二元线性回归模型的调整后R的平方=0.605,则表示受教育年限和职位的二元回归模型对年薪的变化可解释程度为 60.5%。
4、假设自变量受教育年限和职位的 t 检验 P 值为 0.00529 和 0.00265,都小于 0.05,表明这两个自变量都通过了 t 检验,对年薪有显著的线性影响。
5、在相同的职位上,受教育年限(edu)每增长1 年,年薪平均增长 3669 元;相同受教育年限的条件下,管理者(position=1)的年薪比一般职员(position=0)平均增长 27144.47 元。
6、假设员工甲受教育年限为 10 年,在该公司为一般职员,可利用该模型预测甲年薪大约为?
7、假设员工乙受教育年限为 10 年,在该公司为管理者,可利用该模型预测乙年薪大约为?
【计算步骤】根据已知的二元线性回归方程
Y尖=-18716.2+3669edu+27144.47position
将教育年限 10 年,员工的职位代入回归方程中,即可预测员工乙的年薪。
Y尖 =-18716.2+3669×10+27144.47=45082.27 元。
备注:简书平台识别不了相关公式,所以用文字替代。
第27章
继续来分享第27章时间序列的考点。第27章考点主要有7个,分别为:
1、时间序列的分类
2、时间序列水平分析指标和速度分析指标(分别是哪 4 个)
3、时间序列水平分析指标的计算
4、时间序列速度分析指标的计算
5、速度的分析与应用
6、时间序列的分解和预测程序
7、平滑预测法:移动平均法、指数平滑法
第一个考点:时间序列的分类
1、绝对数时间序列。
首先,要注意是绝对数,包含时期序列和时点序列。
时期序列:每一指标值反映现象在一段时期内发展的结果,即过程总量。比如:①国内生产总值;②产品产量;③财政收入;④商品零售额
时点序列:每一指标值反映现象在一定时点上的瞬间水平。比如:
① 年末人口数;②库存量;③外汇储备;④耕地面积
2、相对数时间序列。
首先,要注意是相对数。比如:城镇人口比重。
3、平均数时间序列
首先,要注意是平均数或均值。比如,人均国内生产总值
第二个考点:时间序列水平分析指标和速度分析指标
1、时间序列水平分析指标:
发展水平、平均发展水平(序时平均数)、增长量、平均增长量。
2、速度分析指标
发展速度、增长速度、平均发展速度、平均增长速度。
第三个考点:时间序列水平分析指标的计算
1、发展水平
2、平均发展水平
绝对数时间序列分为:时期序列、时点序列。
时期序列,采用简单算术平均法
时点序列:分为连续时点和间断时点。
连续时点:按资料逐日登记却逐日安排,采用简单算术平均法,这种方式适合没有变化的情况。另一种是有变化的情况,有变化的情况采用加权算术平均法。
间断时点:又分为间隔相等和间隔不相等。间隔相等采用两次平均法,即两次简单算术平均。间隔不相等两次平均,一次简单算术平均,一次加权算术平均。
相对数或平均数的时间序列:不能就序列中的相对数或平均数直接进行平均计算。要分别求出分子指标和分母指标时间序列的序时平均数,然后再进行对比。
3、增长量:
逐期增长量=报告期水平-前一期水平
累计增长量=报告期水平-最初水平
累计增长量等于相应时期逐期增长量之和
4、平均增长量
平均增长量是时间序列中逐期增长量的序时平均数。
第四个考点:时间序列速度分析指标的计算
发展速度:
定基发展速度=报告期水平/固定期水平
环比发展速度=报告期水平/前一期水平
二者关系:定基发展速度等于相应时期内各环比发展速度的连乘积;环比发展速度=两个相邻时期定基发展速度的比率
增长速度
增长速度=报告期增长量/基期水平
与发展速度的关系:定基增长速度=定基发展速度-1;环比增长速度=环比发展速度-1
平均发展速度
环比发展速度的连乘积(或定基发展速度)开(时期数-1 次)方
平均增长速度
平均增长速度=平均发展速度-1
第五个考点:速度的分析与应用
在应用速度分析实际问题时应注意:
1、当时间序列中的指标值出现0或负数时,不宜计算速度,适宜直接用绝对数进行分析。
2、速度指标的数值与基数的大小有密切关系,在环比增长速度时间序列中各期的基数不同,因此运用这一速度指标反映现象增长快慢时,往往要结合水平指标的分析才能得出正确结论。
3、增长1%的绝对值是进行这一分析的指标,它反映同样的增长速度,在不同时间条件下所包含的绝对水平。
4、增长1%的绝对值=逐期增长量/环比增长速度=前一期的发展水平X1%。
第六个考点:时间序列的分解和预测程序
1、时间序列的成分:时间序列的变化可能受一种或几种因素的影响,这种因素称为时间序列的成分。有长期趋势、季节变动、循环波动和不规则波动等四种。
第七个考点:平滑预测法:移动平均法、指数平滑法
长期趋势:是时间序列在较长一段时间内呈现的持续上升或持续下降的变动。
这种趋势可能是线性的,也可能是非线性的。(总态势)
季节变动:是时间序列在一年内重复出现的周期性波动。例如,旅游、商品销售、农业生产、交通运输等行业的生产经营中都有明显的季节变动特征。如,销售旺季、销售淡季;路由旺季、旅游淡季等。
循环波动:是时间序列呈现出的非固定长度的周期性变动。例如,经济周期有涨落相间的交替波动,周期长短不一,无固定规律。注意,也叫周期变动。(周期不固定、难以把握)。
不规则波动:是时间序列中除去长期趋势、季节变动和循环波动之后的随机波动。不规则波动往往是由一些偶然因素(如自然灾害、意外事故、政治事件等)引起的,难以预测和控制,因此在时间序列中通常不予单独考虑。注意:也叫随机变动。(无法预知)
2、时间序列分解模型:
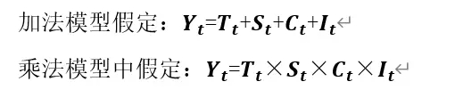
一个时间序列可能只包含一种成分,也可能是由几种成分混合而成的。时间序列分析时经常在一定的模型假定下把这些成分从时间序列里分离出来,对各成分分别进行分析。时间序列分解的方法很多,常用的有加法模型和乘法模型。不同的模型中对四种成分之间的关系假定不同,如:
加法模型假定和乘法模型中假定:
3、时间序列的预测程序:
时间序列分解的一个主要目的就是根据历史数据对未来进行预测。时间序列的预测通常包括以下几个步骤:
第一步:确定时间序列所包含的成分。
第二步:找出适合该时间序列的预测方法。
第三步:对可能的预测方法进行评估,以确定最佳预测方案。
第四步:利用最佳预测方案进行预测。
第七个考点:平滑预测法
1、平滑法的适用情况
(1)平滑法包括移动平均法和指数平滑法等。
(2)平滑法适用于平稳时间序列的预测,即没有明显的趋势、循环和季节波动的时间序列。
2、移动平均法:使用时间数列中最近 k 期数据值的平均数作为下一期的预测值。
3、指数平滑法:利用过去时间序列值的加权平均数作为预测值,使得第 t+1 期的预测值等于第 t 期的实际观察值与第 t 期预测值的加权平均值。
4、指数平滑法的特点是:观测值离预测时期越久远,其权重也变得越小,呈现出指数下降,因而称为指数平滑。
第28章
中级经济师考点梳理来到第5部分会计,今天分享第28章会计概论,这一章主要考点如下:
1、现代会计的两大分支
2、会计的基本职能
3、会计的对象及会计核算的具体内容
4、企业会计信息的主要内容
5、企业会计要素
6、资产的特征、确认条件及分类
7、负债的特征、确认条件及分类
8、所有者权益的来源和项目
9、收入、费用、利润的含义、特征、确认条件
10、会计等式
11、经济业务发生所引起的会计要素的变动
12、会计要素确认和计量基本原则
13、会计基本前提
14、会计信息质量要求
第一个考点:现代会计的两大分支
现代会计以企业会计为核心,按照对外提供还是对内提供决策所需信息,分为财务会计科和管理会计两大分支(管理会计是从财务会计中分离出来的)。
财务会计的目的:主要是为满足外部会计信息使用者准确的了解企业的生产经营活动情况,以便作出正确的决策,维护自身经济利益的需要
管理会计的目的:用于满足企业内部管理人员编制计划、作出决策等的信息需要。
依据:财务会计以会计准则为依据;管理会计不以会计准则为依据
财务会计的范围:
确认、计量企业资产、负债、所有者权益的增减变动
记录营业收入的取得、费用的发生和归属以及收益的形成和分配
定期以财务报表的形式报告企业财务状况、
经营成果和现金流量
分析报表,评价企业偿债能力、营运能力和获利能力等
注意:财务会计主要是对企业已发生的经济业务进行事后记录和反映,提供的信息是对过去生产经营活动的客观反映。
管理会计的范围主要包括:
预测分析、决策分析、全面预算、成本控制、责任会计。
第二个考点:会计的基本职能
会计具有核算和监督两项基本职能。
核算职能:
含义:是指会计通过确认、计量、记录、报告,运用一定的方法或程序,利用货币形式,从价值量方面反映企业已经发生或完成的客观经济活动情况,为经济管理提供可靠的会计信息。
地位:核算职能是会计的最基本职能。
特点:会计核算具有完整性、连续性和系统性的特点。
监督职能:
含义:是指在经济事项发生以前、经济事项进行当中和经济事项发生之后,会计利用预算、检查、考核、分析等手段,对单位的会计核算及其经济活动的真实性、完整性、合规性和有效性进行指导与控制。
包括:事前监督、事中监督和事后监督。
会计的核算职能和监督职能是不可分割的,核算是基本的、首要的,核算是监督的前提。
现代会计的职能还包括:预测、决策、评价
第三个考点:会计的对象及会计核算的具体内容
1、会计的对象即会计的客体,凡是特定对象能以货币表现的经济活动都是会计核算和监督的内容。
2、企业中以货币表现的经济活动一般称为价值运动或资金运动。
3、资金运动过程包括:资金的投入、资金的循环与周转、资金的退出
(1)资金的投入:是企业资金运动的起点。包括企业所有者投入资金(企业所有者权益)和债权人投入资金(企业的负债)
(2)资金的循环与周转:又分为供应过程、生产过程、销售过程三个阶段。
第三个考点:会计的对象及会计核算的具体内容
(2)资金的循环与周转:分为供应过程、生产过程、销售过程三个阶段。
①供应过程:它是生产的准备过程,企业用货币资金购买并储备原材料等劳动对象。随着采购活动的进行,企业资金从货币资金形态转化为储备资金形态。
②生产过程:在生产过程中,企业要发生原材料等劳动对象的消耗,资金从储备资金形态转化为生产资金形态。随着劳动力的消耗,企业向劳动者支付工资、奖金等劳动报酬,资金从货币资金形态转化为生产资金形态;当产品制成后,资金又从生产资金形态转化为成品资金形态。
③销售过程:企业将生产的产品销售出去,取得销售收入,发生货款结算等业务,资金从成品资金形态转化为货币资金形态。
由此可见,随着生产活动的进行,企业的资金从货币资金形态开始,依次经过供应过程、生产过程和销售过程,分别表现为储备资金、生产资金、成品资金等不同的存在形态,最后回到货币资金形态,这种运动过程称为资金的循环。资金周而复始地不断循环,称为资金周转。
(3)资金的退出:企业收回的货币资金中,用于缴纳税金、偿还债务和向投资者分配股利和利润的这部分资金就退出了资金循环与周转,剩余的资金继续用于企业的再生产过程。
4、下列经济业务事项,应当办理会计手续,进行会计核算:
(1)凡是特定主体能够以货币表现的经济活动,都是会计核算的内容。通常将单位在日常生产经营和业务活动中的资金运动称为经济业务事项。
①经济业务又称经济交易,是指单位与其他单位和个人之间发生的各种经济利益的交换,如购买固定资产、销售商品、上缴税收等。
② 经济事项,是指在单位内部发生的具有经济影响的种类事项,如支付职工工资、报销差旅费、计提折旧等。
(2)应当办理会计手续,进行会计核算的内容:
①款项和有价证券的收付(款项和有价证券是流动性最强的资产)
款项,是指单位与其他单位和个人之间发生的各种经济利益的交换,如购买固定资产、销售商品、上缴税收等。
有价证券,指表示拥有一定财产拥有权或支配权的证券。如国库券、股票、企业债券等。
②财物的收发、增减和使用
③债权、债务的发生和结算
④资本的增减
⑤收入、支出、费用、成本的计算
⑥财务成果的计算和处理
⑦需要办理会计手续、进行会计核算的其他事项
第四个考点:企业会计信息的主要内容
1、有关企业财务状况的信息,通过资产负债表来反映。
2、有关企业经营成果的信息,通过利润表来反映。
3、有关企业现金流量的信息,通过现金流量表来反映。
第五个考点:企业会计要素
企业会计要素包括(6 个):资产、负债、所有者权益;收入、费用、利润。
资产、负债、所有者权益:是组成资产负债表的会计要素,也称资产负债表要素。是反映企业财务状况的会计要素。
收入、费用、利润:是组成利润表的会计要素,也称利润表要素。是反映企业生产经营成果的会计要素。
第六个考点:资产的特征、确认条件及分类。
资产的定义:
指企业过去的交易或事项形成的并由企业拥有或者控制的,预期会给企业带来经济利益的资源
特征:
①资产必须是企业拥有或者控制的资源。指企业享有某项资源的所有权,或者虽然不享有某项资源的所有权,但该资源被企业所控制。
②资产必须是预期能够直接或间接给企业带来经济利益。
③形成资产的交易必须已经发生,即资产必须是现实的资产,而不是预期的资产
确认条件:
需要符合资产定义、同时满足两个条件:
②与该资源有关的经济利益很可能流入企业;
②该资源的成本或者价值能够可靠地计量。
分类:
流动资产(短期流动):货币资金、交易性金融资产、应收票据及应收账款、预付款项、其他应收款、存货。
非流动资产:
长期股权投资、固定资产、在建工程、无形资产、开发支出等
第七个考点:负债的特征、确认条件及分类 。
定义:
指过去的交易、事项形成的,预期会导致经济利益流出企业的现时义务
特征:
①只能由过去的交易活动或本期经济业务所形成,且必须于未来某一特定时期予以清偿的现时义务
② 负债必须有其可用货币额反映的价值量,不能用货币量计量的不能作为负债
③必须是现行条件下已承担的预期会造成经济利益流出的现时义务
确认条件:
符合负债的定义,并同时满足两个条件,确认为负债:
与该义务有关的经济利益很可能流出企业;
未来流出的经济利益的金额能够可靠地计量。
分类:
流动负债(短期负债):短期借款、应付票据及应付账款、预收款项、应付职工薪酬、应交税费、其他应付款等
非流动负债:长期借款、应付债券
第八个考点:所有者权益的来源和项目
来源:
所有者投入的资本
直接计入所有者权益的利得和损失
留存收益
包括项目:
实收资本或股本
资本公积
盈余公积
未分配利润。
第九个考点:收入、费用、利润的含义、特征、确认条件。
收入的含义:
指企业在日常活动中形成的,会导致所有者权益增加的,与所有者投入资本无关的经济利益的总流入。
收入的特征:
收入是在日常活动中形成的;
应当会导致企业经济利益的流入,该流入不包括所有者投入资本;
收入应当最终会导致所有者权益的增加。
收入的确认条件:
符合收入的定义,并同时满足三个条件,确认为收入:
与收入有关的经济利益很可能流入企业;
经济利益流入企业会导致企业资产增加或者负债减少;
经济利益的流入能够可靠计量。
第九个考点还有“费用”和“利润”没有分享,明天继续,且将第28章会计概论第余下几个考点一并分享。
第九个考点:收入、费用、利润的含义、特征、确认条件。
费用的含义:
企业在日常活动中发生的,会导致所有者权益减少的,与向所有者分配利润无关的经济利益的总流出
费用的特征:
费用应当是企业日常活动中发生的。
费用应当会导致经济利益的流出,该流出不包括向所有者分配的利润。
费用应当最终会导致所有者权益的减少。
费用的确认条件:
符合费用的定义,并同时满足三个条件:
与费用有关的经济利益很可能流出企业;
经济利益流出企业的结果会导致企业资产减少或者负债增加;
经济利益的流出额能够可靠计量。
利润的含义:
利润是指企业在一定期间内的经营成果,是企业在生产经营过程中各种收入扣除各种费用后的盈余,是反映经营成果的最终要素。
利润的内容:
利润包括收入减费用后的净额(企业日常经营活动的业绩),直接计入当期利润的利得和损失(企业非日常经营活动的业绩)。
利润的确认主要依赖于收入和费用以及利得和损失的确认
第十个考点:会计等式
资产、负债、所有者权益关系,资产=负债+所有者权益;
收入、费用、利润三者关系,在不考虑调整因素,例如不考虑直接计入当期利润的利得和损失等情况下:利润=收入-费用。
第十一个考点:经济业务发生所引起的会计要素的变动
1.一项资产和一项负债同时等额增加
2.一项资产和一项所有者权益同时等额增加
3.一项资产和一项负债同时等额减少
4.一项资产和一项所有者权益同时等额减少
5.一项资产增加,另一项资产等额减少,负债和所有者权益要素不变
6.一项负债增加,另一项负债等额减少,资产和所有者权益要素不变
7.一项负债增加,另一项所有者权益等额减少,资产要素不变
8.一项负债减少,另一项所有者权益等额增加,资产要素不变
9.一项所有者权益增加,另一项所有者权益等额减少,资产和负债要素不变
请注意,上述9种情况不需要一个个背下来,根据“资产=负债+所有者权益”的恒等式就能很好理解。比如1,一项资产和一项负债同时等额增加,根据“资产=负债+所有者权益”,即可以判断等式依然成立。
小结:会计要素确认和计量基本原则、会计基本前提和信息质量要求
1、会计要素确认和计量基本原则。
权责发生制原则;
配比原则;
历史成本原则;
划分收益性支出与资本性支出原则
注意:可以结合会计要素记忆:资产、负债、所有者权益、收入、费用和利润
比如:发生了一项收入业务,如何确认是本期的还是下期的记账应该记多少。发生了支出业务,记账的时候记费用还是记资产。
2、会计基本前提(会计基本假设)。
①会计主体;②持续经营;③会计分期;④货币计量
注意:这是会计人员要开展会计工作的前提条件。
3.信息质量要求
①可靠性;②相关性;③清晰性;④可比性;⑤实质重于形式;
⑥重要性;⑦谨慎性;⑧及时性
注意:对企业所提供的会计信息要做到上述8点。
第十二个考点:会计要素确认和计量基本原则(4个)。
1.权责发生制和收付实现制的区别。
权责发生制(应计制):
按权利和义务是否发生来确定收益和费用的归属期。
适用情形:
企业会计的确认、计量和报告应当以权责发生制为基础;
我国行政事业单位财务会计核算采用权责发生制,国务院另有规定的,依照其规定。
收付实现制(现金制):
以收到款项或支付款项作为确认收入、费用的基础。我国行政事业单位预算会计核算采用收付实现制。
配比原则
含义:指对一个会计期间的收入和与其相关的成本、费用应当在该会计期间内确认,并应相互配比,以便计算本期损益。
方式:
按逻辑因果关系进行配比:如主营业务收入与直接成本相配比;
按时间配比:如将一定时期的收入与同期的成本费用相配比。
历史成本原则:
含义:指各项资产应按照取得时支付的实际成本计量,其后,各项财产如果发生减值,应当按照规定计提相应的减值准备。
优点:
(1)取得比较容易、比较客观;
(2)有原始凭证作证明,便于查证;
(3)防止企业随意更改;
(4)会计核算手续简化,不必经常调整账目。
前提:以币值稳定为前提。
划分收益性支出与资本性支出原则:
含义:
收益性支出:在本期发生只与本期收益有关的应当在本期已实现的收益中得到补偿的支出。如:管理费用、财务费用、营业费用等
资本性支出:当期发生不但与本期收益有关,而且与以后会计期间收益有关的,应当在以后若干会计期间的收益中得到补偿的支出。如:购入固定资产的支出。
要求:
收益性支出:计入当期损益,在利润表(计费用);
资本性支出:在资产负债表(计资产)中反映。
误计结果:
将收益性支出(计入费用)误计入资本性支出(计入资产),就会少计费用多计资产价值,会高估资产和当期收益;
将资本性支出(计入资产)误计入收益性支出(计入费用),就会多计费用而少计资产价值,会低估资产和当期收益。
第十二个考点:会计基本前提(4个基本假设)
会计主体
含义:会计确认、计量和报告的空间范围,是会计所服务的特定单位。
作用:明确界定会计主体,是会计核算的重要前提,是为了把会计主体的经济业务与其他会计主体以及投资者的经济业务划分。
持续经营
含义:会计核算应当以持续、正常的生产经营活动为前提,在可以预见的将来,企业将会按当前的规模和状态继续经营下去,而不考虑企业停业或破产清算也不考虑企业大规模削减业务
作用:只有在持续经营的前提下
企业的资产和负债才区分为流动和长期的;
企业资产才能以历史成本计价而不以现行成本或清算价格计价;
才有必要和可能进行会计分期并为采用权责发生制奠定基础;
才使正确区分资本与负债成为必要。
会计分期
含义:会计分期又叫会计期间,把企业持续不断的生产经营活动期间,划分为若干连续的、等距的会计期间,以便分期结算账目,计算盈亏,按期编制会计报表,从而提供有用的会计信息的对比。
会计前提:会计分期是建立在持续经营基础上的
作用:明确了会计期间的前提,才产生了当期和以前期间、以后期间的差别,才产生了收付实现制和权责发生制,才能正确贯彻配比原则。
货币计量
含义:货币计量是指企业在进行会计确认、计量和报告时采用货币为主要计量单位进行记录,反映企业财务状况、经营成果和现金流量,并假定货币的币值保持不变。
规定:企业会计应当以货币计量,以人民币为记账本位币。货币计量的假设并不表示货币是会计核算中唯一的计量单位,有时也辅以实物数量等计量单位。
小结:会计基本前提:
会计基本前提包括:会计主体、持续经营、会计分期、货币计量。
会计主体是会计确认、计量和报告的空间范围,是会计所服务的特定单位。
持续经营是会计分期的基础。
会计分期是收付实现制和权责发生制,配比原则的基础。
第十四个考点:会计信息质量要求(8个)。
1、可靠性
要求企业应当以实际发生的交易或者事项为依据进行会计确认、计量和报告,如实反映符合确认和计量要求的各项会计要素及其他相关信息,如实反映企业的财务状况、经营成果和现金流量,保证会计信息的可靠、内容完整。
可靠性包括真实性和客观性两方面含义。
2、相关性
相关性又称有用性,要求企业提供的会计信息应当与财务会计报告使用者的经济决策需要相关。
3、清晰性
又称可理解性,要求会计提供的会计信息应当清晰明了,便于财务会计报告使用者理解和利用。
4、可比性
纵向可比:同一企业不同时期发生相同或者相似的交易或者事项,应当采用一致的会计政策,不得随意变更。
横向可比:不同企业发生的相同或者相似的交易或者事项,应当采用规定的会计政策和会计处理办法,确保会计信息口径一致,以便在不同企业之间可以进行横向比较。
5、实质重于形式
要求企业应按照交易或事项的经济实质进行会计确认、计量和报告,而不应当仅仅以交易或事项的法律形式为依据。
如,以融资租赁方式租入的固定资产。从经济实质上,企业(租用方拥有该资产的实际控制权,在会计核算上就将其视为企业资产。
6、重要性
重要性要求企业提供的会计信息应当反映与企业财务状况、经营成果和现金流量等有关的所有重要交易或者事项。
重要性的应用需要依赖(于会计人员的)职业判断,根据其所处的环境和实际情况,从项目的性质和金额大小两方面来判断其重要。
一般情况下,对决策者的利益关联度高的和金额占总业务量比重较大的项目应当作为重要项目在财务报表上进行反映。
重要会计事项必须按照规定的方法和程序进行处理,并在财务会计报告中予以充分、准确的披露;而对于次要的会计事项,在不影响会计信息真实性和不至于误导财务会计报告使用者作出正确判断前提下,可适当简化和合并反映
7、谨慎性(稳健性)
谨慎性又称为稳健性,要求企业对交易或者事项进行会计确认、计量和报告应当保持应有的谨慎,不应高估资产或者收益、低估负债或者费用。
(1)存货在物价上涨时期的计价采用后进先出法;
(2)采用成本与可变现净值孰低法对存货进行期末计价(存货跌价准备);
(3)对应收账款计提坏账准备;
(4)对固定资产采用加速折旧法;
(5)对可能发生的资产损失计提减值准备。
8、及时性
要求企业对于已经发生的交易或者事项,应当及时进行会计确认、计量和报告不得提前或者延后。
好啦,第28章会计概论的考点全部分享完成。明天起将暂告一段落分享中级经济师的考点。2022年9月或许还会来继续分享全部的考点。
第37章
37章主要知识点
一、工业产权法律制度主要知识点
1、工业产权的概念和特征
2、专利权的主体
3、专利权的客体
4、授予专利权的条件
5、不授予专利权的情形
6、专利权的内容与限制
7、专利权、商标权的保护期限
8、专利权的终止
9、专利侵权行为
10、专利侵权的法律责任及诉讼时效
11、商标注册的原则、条件、禁止作为商标使用的情形
12、商标注册的申请与审核
13、商标权的内容
二、劳动合同法律制度主要知识点
14、劳动合同的类型
15、劳动合同的订立
16、劳动合同的内容
17、试用期规定
18、保守秘密规定
19、劳动合同的无效
20、劳动合同的解除
21、劳动合同的终止
三、消费者权益保护法律制度主要知识点
22、消费者权益保护法的适用范围
23、消费者的权利和经营者的义务
24、消费争议解决途径
四、反垄断法律制度主要知识点
25、适用及不适应《反垄断法》的情形
26、《反垄断法》规定的垄断行为包括
27、反垄断执法机构调查涉嫌垄断行为,可以采取的措施
28、相关市场的概念
29、相关市场界定的依据和方法
30、垄断协议
31、垄断协议的豁免
32、宽恕制度
33、经营者滥用市场支配地位
34、经营者集中
35、滥用行政权力排除、限制竞争
36、经营者在生产经营活动中,应遵循的原则
37、不正当竞争行为的种类
38、《产品质量法》所称的产品
39、生产者的产品质量义务
40、销售者的产品质量义务
41、产品质量责任和产品责任
42、产品责任的归责原则
43、产品责任的求偿
44、产品责任的赔偿范围
45、产品责任的诉讼时效
对于报考中经人力资源管理专业的小伙伴来讲,第二大部分劳动合同法律制度就是送分题,因为在人力实务那本教材里也有相同的知识点,这部分的知识点是只是分别放在了两本书,而知识点是完全重叠的。所以对于报考人力方向的小伙伴们直接可以跳过第二大部分,这一部分不用再花任何时间。
对于第37章这一部分的内容并不复杂,只是细节比较多,其难度比物权法律制度、合同法律制度小得多。所以,不用担心,前面的都掌握了,这一章完全不是问题,相信等通知考试的小伙伴们完全能够拿下,高分通过考试。
|